Ejercicio 8 - despejar variable
Despeja
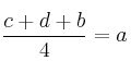
en la expresión: ![]()
SOLUCIÓN
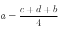
![]()
Dado que la variable(a) a despejar está en el lado derecho, la dejaremos "sóla" en el lado derecho.
Primero pasamos el
al otro lado del signo igual (cambiando el signo)
![]()
Ahora quitamos el "4" que multiplica pasándolo al otro miembro dividiendo

Expresión que también podemos poner de la siguiente forma:

Mensajes
28 de noviembre de 2006, 10:42, por dani
3 de julio de 2011, 23:19, por Jacky
Excelente espacio para quienes las matematicas nos dan dolor de cabeza. En el futuro sere una asidua seguidora de este espacio.
7 de noviembre de 2015, 02:11, por jos cala
la matematicas no dan dolor de cabeza solo a los vagos da dolor de cabeza
25 de octubre de 2020, 23:57, por Elkks
Si da dolor de cabeza we
2 de octubre de 2015, 04:01, por incognito
que esrto no tiene la respuesta osea necesito ver la respueta y no esta osea
encerio si van a publicar algo que no les de pereza de subirlo al internet con respuesta
18 de febrero de 2016, 18:47, por tibito270000
si que tiene respuesta solo que los tontos no la ven, estoy en 1ºESO y hago ejercicios mas dificiles que este, si que tiene respuesta
24 de noviembre de 2015, 21:07, por gabriela rodriguez
oye esque no me quedo tan claro puedes explicarlo por tu pagina pero de manera escrita
15 de agosto de 2019, 07:51, por tiffany
Eg/w=2(h-k)