• Apuntes
  • Vídeos
  • Ejercicios
    • Resueltos
    • Por Curso
      • 1º ESO
      • 2º ESO
      • 3º ESO
      • 4º ESO
      • 1º BACH. CIENCIAS
      • 1º BACH. SOCIALES
      • 2º BACH. CIENCIAS
      • 2º BACH. SOCIALES
  • Más recursos
    • Actividades Interactivas
    • Selectividad (PAU)
    • Acceso Mayores 25
    • LaTeX
Inicio ›EJERCICIOS de Matemáticas ›1º ESO ›Fracciones ›Ejercicio Simplificar Fracciones - 2907

Ejercicio Simplificar Fracciones - 2907

💬 1

  Ejercicios_Resueltosfraccionessimplificar_fracciones

Simplifica las siguientes fracciones:

– a) \frac{120}{200}
– b) \frac{54}{36}

SOLUCIÓN

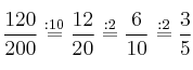
– a) \frac{120}{200} \stackrel{:10}{=}\frac{12}{20}\stackrel{:2}{=}\frac{6}{10}\stackrel{:2}{=}\frac{3}{5}
– b) \frac{54}{36}\stackrel{:2}{=}\frac{27}{18}\stackrel{:3}{=}\frac{9}{6}\stackrel{:3}{=}\frac{3}{2}

Comentar el ejercicio

Mensajes

  • 14 de mayo de 2020, 11:56, por Angeles

    https://matematicasies.com/spip.php...Muy chulos los juegos interactivos.
    Gracias

  • 1º ESO
    • Ecuaciones
    • Fracciones
    • Geometría
    • Medidas
    • Naturales
    • Enteros
    • Decimales
    • Potencias y raíces
    • Estadística
    • Probabilidad
    • Tablas y Gráficas
    • Proporcionalidad y Porcentajes
  • Mapa del sitio
  • Conectarse
  • 2001-2026 — Matemáticas IES — Contactar con Dani