• Apuntes
  • Vídeos
  • Ejercicios
    • Resueltos
    • Por Curso
      • 1º ESO
      • 2º ESO
      • 3º ESO
      • 4º ESO
      • 1º BACH. CIENCIAS
      • 1º BACH. SOCIALES
      • 2º BACH. CIENCIAS
      • 2º BACH. SOCIALES
  • Más recursos
    • Actividades Interactivas
    • Selectividad (PAU)
    • Acceso Mayores 25
    • LaTeX
Inicio ›EJERCICIOS de Matemáticas ›3º ESO ›Probabilidad ›Ejercicio Unión de Sucesos 3109

Ejercicio Unión de Sucesos 3109

Ejercicios_Resueltosprobabilidadsucesos

Se lanza un dado y se consideran los sucesos:
A=\{1,2,3\} , B=\{2,5,6\} y C=\{3\}
Determina los sucesos:

– (a) A \cup B
– (b) A \cup C

SOLUCIÓN

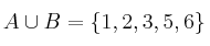
– (a) A \cup B =\{1,2,3,5,6\}

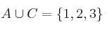
– (b) A \cup C = \{1,2,3\}

Comentar el ejercicio

  • 3º ESO
    • Sistemas de ecuaciones
    • Ecuaciones
    • Polinomios
    • Radicales
    • Potencias
    • Proporcionalidad y Porcentajes
    • Números Reales
    • Funciones y Gráficas
    • Sucesiones
    • Probabilidad
    • Geometría
    • Estadística
    • Problemas especiales
  • Mapa del sitio
  • Conectarse
  • 2001-2026 — Matemáticas IES — Contactar con Dani