• Apuntes
  • Vídeos
  • Ejercicios
    • Resueltos
    • Por Curso
      • 1º ESO
      • 2º ESO
      • 3º ESO
      • 4º ESO
      • 1º BACH. CIENCIAS
      • 1º BACH. SOCIALES
      • 2º BACH. CIENCIAS
      • 2º BACH. SOCIALES
  • Más recursos
    • Actividades Interactivas
    • Selectividad (PAU)
    • Acceso Mayores 25
    • LaTeX
Inicio ›EJERCICIOS de Matemáticas ›4º ESO ›Polinomios ›Ejercicio multiplicar y dividir fracciones algebraicas

Ejercicio multiplicar y dividir fracciones algebraicas

💬 2

  Ejercicios_Resueltosfracciones_algebraicas

Opera las siguientes expresiones:
– \frac{2a^2}{5b^2} \cdot \frac{15b}{8a^4}
– \frac{2a^3}{3b^2} : \frac{4a^5}{6b^4}

SOLUCIÓN

\frac{2a^2}{5b^2} \cdot \frac{15b}{8a^4} = \frac{2a^2 \cdot 15b}{5b^2 \cdot 8a^4} =\frac{\cancel{2} \cdot 3 \cdot \cancel{5} \cdot \cancel{a^2} \cdot \cancel{b}}{\cancel{5} \cdot \cancel{2} \cdot 2 \cdot 2 \cdot b^{\cancel{2}} \cdot \cancel{a^2} \cdot a^2} = \frac{3}{4ba^2}

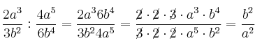
\frac{2a^3}{3b^2} : \frac{4a^5}{6b^4}= \frac{2a^3 6b^4}{3b^2 4a^5}=\frac{\cancel{2} \cdot \cancel{2} \cdot \cancel{3} \cdot a^3 \cdot b^4}{\cancel{3} \cdot \cancel{2} \cdot \cancel{2} \cdot a^5 \cdot b^2}= \frac{b^2}{a^2}

Comentar el ejercicio

Mensajes

  • 31 de enero de 2021, 16:02, por Pulizer

    Hay un error en el primero, la pasar a fracción conjunta, se multiplica el 5b^2 por 8a^2 cuando en el enunciado ponía que era 8a^4.

    • 31 de enero de 2021, 19:06, por dani

      Ya está corregido.
      Gracias por avisar.

  • 4º ESO
    • Números Reales
    • Radicales
    • Logaritmos
    • Polinomios
    • Ecuaciones
    • Sistemas de ecuaciones
    • Proporcionalidad
    • Inecuaciones
    • Trigonometría
    • Funciones 4º ESO
    • Números racionales
    • Circunferencia
    • Geometría en el plano
    • Probabilidad
    • Estadística
  • Mapa del sitio
  • Conectarse
  • 2001-2026 — Matemáticas IES — Contactar con Dani