Expresar en lenguaje algebraico

Ejercicios_Resueltoslenguaje_algebraico

Expresa en lenguaje algebraico las siguientes relaciones:

 a) La quinta parte de un número sumado a sus dos terceras partes da 19
 b) Las dos terceras partes de un número sumado a su séptima parte da 51

SOLUCIÓN

Número desconocido: \longrightarrow x

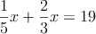
La quinta parte de un número sumado a sus dos terceras partes da 19

\frac{1}{5}x+\frac{2}{3}x = 19

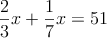
Las dos terceras partes de un número sumado a su séptima parte da 51

\frac{2}{3}x+\frac{1}{7}x = 51

Comentar el ejercicio