Expresar en lenguaje algebraico

Ejercicios_Resueltoslenguaje_algebraico

Expresa en lenguaje algebraico las siguientes relaciones:

 a) Entre 3 niños pagan 1275 euros. Sabemos que el mayor paga la cuarta parte de lo que paga el mediano y que éste paga 60 euros menos que el menor.
 b) Repartimos 1400 euros entre 3 niños. El mayor recibe 200 euros más que el mediano y éste 150 más que el menor.

SOLUCIÓN

a) Entre 3 niños pagan 1275 euros. Sabemos que el mayor paga la cuarta parte de lo que paga el mediano y que éste paga 60 pesetas menos que el menor.

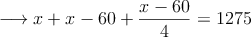
Menor \longrightarrow x
Mediano \longrightarrow x-60
Mayor \longrightarrow \frac{x-60}{4}

Entre los tres \longrightarrow x+x-60+\frac{x-60}{4}=1275

Repartimos 1400 euros entre 3 niños. El mayor recibe 200 euros más que el mediano y éste 150 más que el menor.

Menor \longrightarrow x
Mediano \longrightarrow x+150
Mayor \longrightarrow x+150+200

Entre los tres \longrightarrow x+x+150+ x+150+200 = 1400

Comentar el ejercicio