Fórmulas Igualdades Notables

Ejercicios_Resueltosidentidades_notablespolinomios

Aplica las fórmulas de las identidades notables para desarrollar las siguientes expresiones:
 (3x+2y)^2 =
 (3x-2y)^2 =
 (3x+2y) \cdot (3x-2y) =

SOLUCIÓN

 (3x+2y)^2 =

Aplicamos la fórmula del cuadrado de una suma

(a+b)^2 = a^2 + b^2 + 2 \cdot a \cdot b


donde 3x =a ; 2y =b

Entonces tendremos:
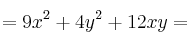
(3x+2y)^2 = (3x)^2 + (2y)^2 + 2 \cdot 3x \cdot 2y =
=9x^2 + 4y^2 + 12xy =

 (3x-2y)^2 =

Aplicamos la fórmula del cuadrado de una diferencia

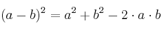
(a-b)^2 = a^2 + b^2 - 2 \cdot a \cdot b


donde 3x =a ; 2y =b

Entonces tendremos:
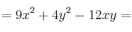
(3x-2y)^2 = (3x)^2 + (2y)^2 - 2 \cdot 3x \cdot 2y =
=9x^2 + 4y^2 - 12xy =

 (3x+2y) \cdot (3x-2y) =

Aplicamos la fórmula de "suma por diferencia = diferencia de cuadrados"

(a+b) \cdot  (a-b) = a^2 - b^2


donde 3x =a ; 2y =b

Entonces tendremos:
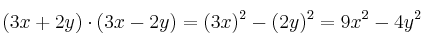
(3x+2y)  \cdot (3x-2y) = (3x)^2 - (2y)^2  =9x^2 - 4y^2

Comentar el ejercicio