Fracciones algebraicas 2990

Ejercicios_Resueltosfracciones_algebraicas

Encuentra una fracción algebraica equivalente a \frac{6x-1}{x+3} con denominador x^2+5x+6

SOLUCIÓN

\frac{P(x)}{x^2+5x+6} = \frac{6x-1}{x+3}

P(x) \cdot (x+3) = (x^2+5x+6) \cdot (6x-1)

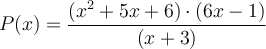
P(x) = \frac{(x^2+5x+6) \cdot (6x-1)}{(x+3)}

Observe que x^2+5x+6=(x+2) \cdot (x+3)

P(x) = \frac{(x+2) \cdot (x+3) \cdot (6x-1)}{(x+3)}

P(x) = \frac{(x+2) \cdot \cancel{(x+3)} \cdot (6x-1)}{\cancel{(x+3)}}

P(x) =(x+2) \cdot (6x-1)=\fbox{6x^2+11x-2}

Si no hubiésemos visto que x^2+5x+6=(x+2) \cdot (x+3),
podríamos haber seguido de la siguiente forma

P(x) = \frac{(x^2+5x+6) \cdot (6x-1)}{(x+3)}


P(x) = \frac{6x^3+29x^2+31x-6}{(x+3)}

Hacemos la división clásica de polinomios

\polylongdiv[style=D]{6x^3+29x^2+31x-6}{x+3}

División que también podríamos haber resuelto por Ruffini

 \polyhornerscheme[x=-3, resultstyle=\color{red},resultbottomrule,resultleftrule,resultrightrule]{6x^3+29x^2+31x-6}

Comentar el ejercicio