Función afín
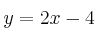
Dada la función
, señala todas las frases que sean verdaderas.
– a) Es una función decreciente.
– b) Su ordenada en el origen es -4.
– c) Es una función lineal.
– d) Pasa por el punto (2, -4)
– e) No pasa por el origen de coordenadas.
SOLUCIÓN
Funciones lineales
– Las funciones lineales son de la forma
– Ejemplo de función lineal:
– Las funciones lineales pasan por el origen de coordenadas (0,0)
Funciones afines
– Las funciones afines son de la forma
– Ejemplo de función afín:
– Las funciones afines NO pasan por el origen de coordenadas (0,0)
– La ordenada en el origen de
es
– La ordenad en el origen de
es ![]()
Pendiente de una función lineal o afín
La pendiente es el coeficiente de la x

– Cuando la pendiente es positiva, la función es creciente
– Cuando la pendiente es negativa, la función es decreciente
Para la función ![]()
– a) Es una función decreciente.
NO. Su pendiente (2) es positiva. Es creciente
– b) Su ordenada en el origen es -4.
SI
– c) Es una función lineal.
NO. Es una función afín
– d) Pasa por el punto (2, -4)
Comprobamos si verifica la ecuación, sustituyendo (x=2) e (y=4)
![]()
NO es cierto
No pasa por el punto (2,-4)
– e) No pasa por el origen de coordenadas.
VERDADERO. LAS funciones afines no pasan por el (0,0)
Veamos su gráfica: