Funciones y Gráficas
(46) ejercicios de Funciones y Gráficas
-
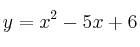
Representa gráficamente la función:

-
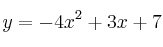
Representa gráficamente la función:

-
Representa gráficamente la función:

-
Representa gráficamente la función:

-
Representa gráficamente la función:

