Funciones gráfica problemas
Lanzamos verticalmente un cohete. La altura
(en metros) a la que se encuentra en cada instante
(en segundos) viene determinada por la función:
. Se pide:
– a) Dibuja la gráfica de la función
– b) Indica cuál es su dominio
– c) ¿Cuánto tiempo pasará para que alcance su altura máxima? ¿Cuál será esa altura máxima?
– d) ¿En qué intervalo de tiempo estará a una altura mayor de 4.500 metros?
SOLUCIÓN
En este problema la "acción" se va a desarrollar en las partes positivas de ambos ejes.
El número de segundos no puede ser negativo.
La altura del cohete tampoco puede ser negativa.
Por tanto, preparamos la siguiente gráfica:
La función
es una parábola (polinómica de segundo grado) que debemos dibujar sólo en la parte positiva de los ejes.
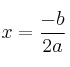
Calculamos el vértice (recordemos que la coordenada x del vértice responde a la fórmula 

La coordenada "y" será:
![]()
Por tanto, el vértice es ![]()
El coeficiente (-5) negativo de x² nos dice que la parábola está orientada hacia abajo (vértice arriba y ramas hacia abajo).
Calculamos los puntos de corte con los ejes de coordenadas:
Si ![]()
Punto de corte: ![]()
Si ![]()
Resolvemos la ecuación de segundo grado y obtenemos como soluciones
y ![]()
Puntos de corte:
y ![]()
Podemos calcular otros puntos que nos ayuden a dibujar la grafica:
Si ![]()
Si ![]()
Podemos obtener más puntos aprovechando la simetría de la parábola (o calculando como los anteriores):

Ya podemos dibujarla al completo
Hemos tenido que hacer distintas escalas en cada eje para que el dibujo se aprecie mejor.
– b) El dominio de la función es ![]()
– c) La altura máxima es 12500 metros y la alcanza a los 50 segundos (observa que corresponde con los datos del vértice)
– d) Veamos cuando está a 4500 metros
![]()
![]()
Resolvemos la ecuación de segundo grado y obtenemos como soluciones
y ![]()
Alcanza dos veces los 4500 m, una cuando está subiendo y otra cuando está bajando.
Por tanto en el intervalo (en segundos)
estará a una altura mayor de 4500 metros.
En la siguiente imagen vemos reflejado éste último apartado