Geometría. Problemas
Calcula la altura de un triángulo isósceles de lados 4cm, 4cm y 6 cm
SOLUCIÓN
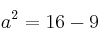
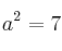
Nos fijamos en el triángulo rectángulo de la derecha y aplicamos el teorema de Pitagoras
![]()
![]()
![]()
![]()

Calcula la altura de un triángulo isósceles de lados 4cm, 4cm y 6 cm
Nos fijamos en el triángulo rectángulo de la derecha y aplicamos el teorema de Pitagoras
![]()
![]()
![]()
![]()
