Geometría ángulos
A uno de los ángulos de un rombo le trazamos la bisectriz quedando dividido en dos ángulos de
. Dibuja el rombo y calcula la medida de sus cuatro ángulos.
SOLUCIÓN
Si la bisectriz lo divide en dos ángulos de
, entonces el ángulo completo es el doble: 25º
Los ángulos de un rombo (al igual que los de cualquier cuadrilátero) suman 360º.
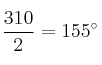
Si tenemos un ángulo de 25 + otro de 25 = 50 nos quedan (360-50) 310º para los otos dos ángulos iguales.
Cada uno medirá 