Gráfica de pelota bajando por canal

Ejercicios_Resueltosgráfica

Una pelotita se coloca en la punta de una canal lisa y comienza a rodar por ella. La figura muestra cómo varía la altura de la pelotita durante el recorrido por la canal hasta llegar al suelo

a) ¿A qué altura se colocó inicialmente la pelotita?
b) ¿En qué intervalo de tiempo la altura de la pelota no varió?
c) Determina mediante cálculos a qué altura estaba la pelota a los 4 segundos.
d) Si la ecuación que describe el descenso de la pelota después de los 15 segundos es h=-\frac{1}{5}t+4, ¿Cuánto tiempo tardó en llegar al suelo?
e) ¿En cuál de los dos tramos de descenso, la pelota rodó más rápido?. Argumenta tu respuesta

SOLUCIÓN

a) ¿A qué altura se colocó inicialmente la pelotita?

Inicialmente se puso a una altura de \fbox{2\: dm}

b) ¿En qué intervalo de tiempo la altura de la pelota no varió?

Entre los 10 y los 15 segundos la pelota estuvo a la misma altura

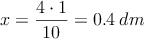
c) Determina mediante cálculos a qué altura estaba la pelota a los 4 segundos.

En 10 seg \longrightarrow bajó 1 dm
En 4 seg \longrightarrow bajó x dm

x = \frac{4 \cdot 1}{10} =0.4 \: dm


En 4 seg bajó 0.4 dm
Como estaba a 2 dm, entonces a los 4 seg estará a 2-0.4=\fbox{1.6 dm}

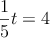
d) Si la ecuación que describe el descenso de la pelota después de los 15 segundos es h=-\frac{1}{5}t+4, ¿Cuánto tiempo tardó en llegar al suelo?

Cuando llega al suelo, la altura es cero \longrightarrow h=0

0=-\frac{1}{5}t+4

\frac{1}{5}t=4

\frac{t}{5}=4 \longrightarrow t = 5 \cdot 4 \longrightarrow \fbox{t = 20}
A los 20 segundos llega al suelo

e) ¿En cuál de los dos tramos de descenso, la pelota rodó más rápido?. Argumenta tu respuesta

En el primer tramo bajó 1 dm en 10 segundos
En el segundo tramo bajó 1 dm en 5 segundos

Bajó el doble de rápido en el segundo tramo

Comentar el ejercicio