Gráfica de una función
Representa gráficamente la siguiente función calculando previamente el vértice y los puntos de corte con los ejes de coordenadas:

SOLUCIÓN
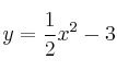
Se trata de una función polinómica de segundo grado, por tanto su gráfica es uan parábola, que podemos expresar de la forma:

Veamos los puntos de corte con los ejes de coordenadas:
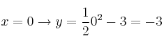
Si 
El punto de corte es ![]()
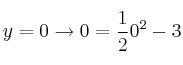
Si 
Al resolver la ecuación de segundo grado obtenemos como soluciones 
Los puntos de corte son
y 
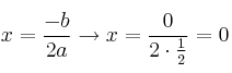
Para calcular el vértice usaremos la fórmula:

La segunda coordenada del vértice sería:

Por tanto el vértice es ![]()
Podemos calcular otros puntos que nos ayuden a dibujarla. Quedaría así: