Identidades Notables
Efectúa aplicando las identidades notables:
–
–
– ![]()
SOLUCIÓN
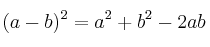
– ![]()
Usaremos la fórmula:
![]()



![]()
![]()
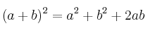
– ![]()
Usaremos la fórmula:
![]()


![]()
![]()
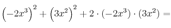
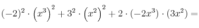
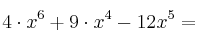
– ![]()
La fórmula a usar es:
![]()


![]()
![]()
Efectúa aplicando las identidades notables:
–
–
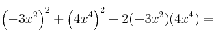
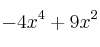
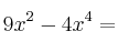
– ![]()
– ![]()
Usaremos la fórmula:
![]()



![]()
![]()
– ![]()
Usaremos la fórmula:
![]()


![]()
![]()
– ![]()
La fórmula a usar es:
![]()


![]()
![]()