• Apuntes
  • Vídeos
  • Ejercicios
    • Resueltos
    • Por Curso
      • 1º ESO
      • 2º ESO
      • 3º ESO
      • 4º ESO
      • 1º BACH. CIENCIAS
      • 1º BACH. SOCIALES
      • 2º BACH. CIENCIAS
      • 2º BACH. SOCIALES
  • Más recursos
    • Actividades Interactivas
    • Selectividad (PAU)
    • Acceso Mayores 25
    • LaTeX
Inicio ›<::: Apuntes :::> ›MATEMÁTICAS ›17 - Integrales ›1 - Integrales Inmediatas ›Integrales Inmediatas tipo Exponencial

Integrales Inmediatas tipo Exponencial

integralesintegrales inmediatas

Las resolveremos basándonos en la siguiente fórmula:

\int u^\prime(x) \cdot a^{u(x)}  \: dx = \frac{a^{u(x)}}{Ln \: a} + C

Ejemplos:

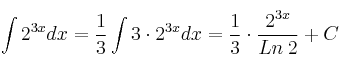
– \int 2^{3x} dx = \frac{1}{3} \int 3 \cdot2^{3x} dx = \frac{1}{3} \cdot \frac{2^{3x}}{Ln \: 2} + C

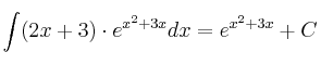
– \int (2x+3) \cdot e^{x^2+3x} dx = e^{x^2+3x} + C

Observe que Ln \: e = 1

Comentar el artículo

1 - Integrales Inmediatas

  • Integrales Inmediatas tipo arc sen y arc tg
  • Integrales Inmediatas tipo Exponencial
  • Integrales Inmediatas tipo Logaritmo Neperiano
  • Integrales Inmediatas tipo Tangente
  • Integrales Inmediatas Trigonométricas tipo Sen-Cos
  • Integrales Inmediatas. Potencia de una función
  • Integrales Inmediatas. Resumen de Fórmulas
  • Integrales polinómicas. Primeras propiedades de las (…)
  • Introducción a las Integrales
  • Mapa del sitio
  • Conectarse
  • 2001-2026 — Matemáticas IES — Contactar con Dani