Matrices. Rango e inversa
Dadas las siguientes matrices
y 
– a) Calcula el rango de A. ¿Existe la inversa de A? ¿Por qué?
– b) Calcula, si es posible, la inversa de la matriz B.
SOLUCIÓN
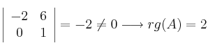
– a) Para calcular el rango de una matriz podemos hacerlo por determinantes o por Gauss.
Lo calculamos por determinantes.


La matriz A no tiene inversa porque ![]()
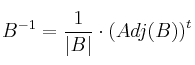
– b) Calcula, si es posible, la inversa de la matriz B.

tiene inversa.
Calculamos la inversa usando la formula:

y aplicando este procedimiento
