Matrices, Determinantes y Sistemas
Matrices, Determinantes y Sistemas de Ecuaciones - 2º Bach. Sociales
En un edificio residencial hay tres tipos de viviendas: L3, L4 y L5. Las viviendas L3 tienen 4 ventanas pequeñas y 3 ventanas grandes; las viviendas L4 tienen 5 ventanas pequeñas y 4 grandes; y las L5, 6 ventanas pequeñas y 5 grandes. Cada ventana pequeña tiene 2 cristales y 4 bisagras, y las grandes, 4 cristales y 6 bisagras.
– a) Escribe una matriz que describa el número y el tamaño de las ventanas de cada vivienda y otra que exprese el número de cristales y bisagras de cada tipo de ventana.
– b) Calcula la matriz que expresa el número de cristales y de bisagras de cada tipo de vivienda
Sea la matriz 
Obtenga la matriz ![]()
Sabiendo que A y B son dos matrices de orden 2, tales que |A| = - 2 y |B| = 4, calcula:
– a)
– b)
– c)
– d)
– e) ![]()
Calcula la inversa de la matriz A por el método de Gauss-Jordan

Sea la matriz 
Hallar las matrices B que conmuten con A; es decir: ![]()
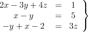
Dado el siguiente sistema de ecuaciones,

a) Escribe la matriz de los coeficientes y la matriz ampliada del sistema anterior.
b) Convierte, a través de transformaciones elementales, la matriz ampliada anterior en matriz escalonada.
Dadas las siguientes matrices
y 
– a) Calcula el rango de A. ¿Existe la inversa de A? ¿Por qué?
– b) Calcula, si es posible, la inversa de la matriz B.
Dadas las matrices:

– a) Justifica si la matriz C tiene inversa
– b) Halla la inversa de C
– c) Resuelve la ecuación matricial ![]()
Dadas las siguientes matrices

Indica razonadamente cuáles de las siguientes operaciones se pueden hacer y cuáles no y realiza todas aquellas que sí se puedan:
– a)
– b)
– c)
– d)
– e) ![]()
Una empresa tiene tres factorías, F1, F2, F3, en las que se fabrican diariamente tres tipos diferentes de productos, A, B y C, como se indica a continuación:
F1: 200 unidades de A, 40 de B y 30 de C.
F2: 20 unidades de A, 100 de B y 200 de C.
F3: 80 unidades de A, 50 de B y 40 de C.
Cada unidad de A que se vende proporciona un beneficio de 5 euros; por cada unidad de B, se obtienen 20 euros de beneficio; y por cada una de C, 30 euros.
Sabiendo que la empresa vende toda la producción diaria, obtén matricialmente el beneficio diario obtenido con cada una de las tres factorías.