Números Reales
(43) ejercicios de Números Reales
-
Halla la fracción generatriz de los siguientes decimales:
– a)
– b)
– c)
-
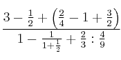
Calcula

-
Sin hacer la división, indica si las siguientes fracciones corresponden a un decimal exacto o a un decimal periódico:
–
–
-
Representa en la recta real la fracción

-
Representa en la recta real la fracción

