Números racionales
(14) ejercicios de Números racionales
-
Opera y simplifica:
![\frac{10}{4} - \frac{3}{2} : \left[ \frac{6}{5} - \frac{8}{5} \cdot \left( 4 - \frac{9}{2} \right) \right] \frac{10}{4} - \frac{3}{2} : \left[ \frac{6}{5} - \frac{8}{5} \cdot \left( 4 - \frac{9}{2} \right) \right]](local/cache-TeX/b08a8bbc4d8d29787a8a990613c6a3b7.png)
-
Opera y simplifica:
![3^2 \cdot \left[ \frac{1}{3} - \left( \frac{7}{2} - 5 \right) \right] : \left( - \frac{3}{8} \right) - \left( \frac{9}{4} - \frac{11}{6} \right) 3^2 \cdot \left[ \frac{1}{3} - \left( \frac{7}{2} - 5 \right) \right] : \left( - \frac{3}{8} \right) - \left( \frac{9}{4} - \frac{11}{6} \right)](local/cache-TeX/04cedcee4af6a26de87ad20e680eaf93.png)
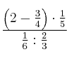
-
Opera y simplifica:

-
Opera y simplifica:

-
Opera y simplifica:

