• Apuntes
  • Vídeos
  • Ejercicios
    • Resueltos
    • Por Curso
      • 1º ESO
      • 2º ESO
      • 3º ESO
      • 4º ESO
      • 1º BACH. CIENCIAS
      • 1º BACH. SOCIALES
      • 2º BACH. CIENCIAS
      • 2º BACH. SOCIALES
  • Más recursos
    • Actividades Interactivas
    • Selectividad (PAU)
    • Acceso Mayores 25
    • LaTeX
Inicio ›EJERCICIOS de Matemáticas ›3º ESO ›Polinomios ›Operaciones con Polinomios

Operaciones con Polinomios

Ejercicios_Resueltosoperaciones_con_polinomiospolinomios

Calcula y simplifica:
-4x (x-4)^2 + 3 (x^2-2x+3) - 2x(-x^2+5)

SOLUCIÓN

-4x (x-4)^2 + 3 (x^2-2x+3) - 2x(-x^2+5)

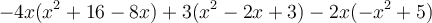
-4x (x^2+16-8x) + 3 (x^2-2x+3) - 2x(-x^2+5)

 -4x^3 -64x +32x^2 + 3x^2 -6x +9 +2x^3 -10x

 —2x^3+35x^2-80x+9

Comentar el ejercicio

  • 3º ESO
    • Sistemas de ecuaciones
    • Ecuaciones
    • Polinomios
    • Radicales
    • Potencias
    • Proporcionalidad y Porcentajes
    • Números Reales
    • Funciones y Gráficas
    • Sucesiones
    • Probabilidad
    • Geometría
    • Estadística
    • Problemas especiales
  • Mapa del sitio
  • Conectarse
  • 2001-2026 — Matemáticas IES — Contactar con Dani