• Apuntes
  • Vídeos
  • Ejercicios
    • Resueltos
    • Por Curso
      • 1º ESO
      • 2º ESO
      • 3º ESO
      • 4º ESO
      • 1º BACH. CIENCIAS
      • 1º BACH. SOCIALES
      • 2º BACH. CIENCIAS
      • 2º BACH. SOCIALES
  • Más recursos
    • Actividades Interactivas
    • Selectividad (PAU)
    • Acceso Mayores 25
    • LaTeX
Inicio ›EJERCICIOS de Matemáticas ›3º ESO ›Radicales ›Operaciones con Radicales (2855)

Operaciones con Radicales (2855)

Ejercicios_Resueltosoperaciones radicalesradicales

Realiza las siguientes operaciones:

– a) \sqrt{\sqrt[3]{\sqrt{8}}}
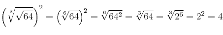
– b) \left( \sqrt[3]{\sqrt{64}}  \right)^2

SOLUCIÓN

– a) \sqrt{\sqrt[3]{\sqrt{8}}} = \sqrt[12]{8} = \sqrt[12]{2^3} = \sqrt[4]{2}

– b) \left( \sqrt[3]{\sqrt{64}}  \right)^2 = \left( \sqrt[6]{64}  \right)^2 = \sqrt[6]{64^2} =\sqrt[3]{64} = \sqrt[3]{2^6} = 2^2 = 4

Comentar el ejercicio

  • 3º ESO
    • Sistemas de ecuaciones
    • Ecuaciones
    • Polinomios
    • Radicales
    • Potencias
    • Proporcionalidad y Porcentajes
    • Números Reales
    • Funciones y Gráficas
    • Sucesiones
    • Probabilidad
    • Geometría
    • Estadística
    • Problemas especiales
  • Mapa del sitio
  • Conectarse
  • 2001-2026 — Matemáticas IES — Contactar con Dani