Operaciones con radicales [2843]
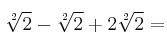
Calcula y simplifica: ![\sqrt[6]{8} - \sqrt[12]{64} + 2\sqrt[4]{4} \sqrt[6]{8} - \sqrt[12]{64} + 2\sqrt[4]{4}](local/cache-TeX/a2286a4b7361d1cc57fa3a04b0c15c13.png)
SOLUCIÓN
En principio no podemos sumar / restar radicales que no sean semejantes.
Debemos simplificar ... a ver si conseguimos radicales semejantes
![\sqrt[6]{8} - \sqrt[12]{64} + 2\sqrt[4]{4} \sqrt[6]{8} - \sqrt[12]{64} + 2\sqrt[4]{4}](local/cache-TeX/a2286a4b7361d1cc57fa3a04b0c15c13.png)
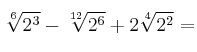
![\sqrt[6]{2^3} - \sqrt[12]{2^6} + 2\sqrt[4]{2^2} \sqrt[6]{2^3} - \sqrt[12]{2^6} + 2\sqrt[4]{2^2}](local/cache-TeX/8c84122c67a34354662f0f90a563223d.png)
Recordemos que se puede simplificar un radical dividiendo índice y exponente del radicando por un mismo número
![\sqrt[6]{2^3} - \sqrt[12]{2^6} + 2\sqrt[4]{2^2}= \sqrt[6]{2^3} - \sqrt[12]{2^6} + 2\sqrt[4]{2^2}=](local/cache-TeX/9c2ce465260ec9e6c311efa717942421.png)
![\sqrt[2]{2} - \sqrt[2]{2} + 2\sqrt[2]{2}= \sqrt[2]{2} - \sqrt[2]{2} + 2\sqrt[2]{2}=](local/cache-TeX/b0c31e914857d6ba8830bb7bd7548ad9.png)

![]()