Operaciones con radicales [2854]
Realiza las siguientes operaciones:
– a)
– b) ![\sqrt[4]{2187} : \sqrt{108} \sqrt[4]{2187} : \sqrt{108}](local/cache-TeX/cf35a70da9dad3bf7efc8d889e4a0201.png)
SOLUCIÓN
– a) ![\sqrt[3]{512} : \sqrt[3]{200} \sqrt[3]{512} : \sqrt[3]{200}](local/cache-TeX/89b1a5a42973fed592247e14bd9982a1.png)

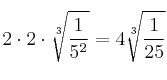
![\sqrt[3]{512} : \sqrt[3]{200} = \frac{\sqrt[3]{512}}{\sqrt[3]{200}} = \sqrt[3]{\frac{512}{200}} = \sqrt[3]{\frac{2^9}{2^3 \cdot 5^2}} = \sqrt[3]{512} : \sqrt[3]{200} = \frac{\sqrt[3]{512}}{\sqrt[3]{200}} = \sqrt[3]{\frac{512}{200}} = \sqrt[3]{\frac{2^9}{2^3 \cdot 5^2}} =](local/cache-TeX/5470a531643d4a5a55cc8d6015455aa8.png)
![\sqrt[3]{\frac{\cancel{2^3} \cdot 2^3 \cdot 2^3}{\cancel{2^3} \cdot 5^2}} = \sqrt[3]{\frac{\cancel{2^3} \cdot 2^3 \cdot 2^3}{\cancel{2^3} \cdot 5^2}} =](local/cache-TeX/7e30e65ec246d464a0e4259647751040.png)
![2 \cdot 2 \cdot \sqrt[3]{\frac{1}{ 5^2}} = 4 \sqrt[3]{\frac{1}{25}} 2 \cdot 2 \cdot \sqrt[3]{\frac{1}{ 5^2}} = 4 \sqrt[3]{\frac{1}{25}}](local/cache-TeX/5a8f4353ad88cb18e2dae4811d3bc5d4.png)
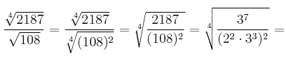
– b) ![\sqrt[4]{2187} : \sqrt{108} = \frac{\sqrt[4]{2187}}{\sqrt{108}} \sqrt[4]{2187} : \sqrt{108} = \frac{\sqrt[4]{2187}}{\sqrt{108}}](local/cache-TeX/49431754efbe234494c91b18a3683c8f.png)
Para dividir radicales de distinto índice debemos hacer índice común
![\frac{\sqrt[4]{2187}}{\sqrt{108}} = \frac{\sqrt[4]{2187}}{\sqrt[4]{(108)^2}} = \sqrt[4]{\frac{2187}{(108)^2}} = \sqrt[4]{\frac{3^7}{(2^2 \cdot 3^3)^2}} = \frac{\sqrt[4]{2187}}{\sqrt{108}} = \frac{\sqrt[4]{2187}}{\sqrt[4]{(108)^2}} = \sqrt[4]{\frac{2187}{(108)^2}} = \sqrt[4]{\frac{3^7}{(2^2 \cdot 3^3)^2}} =](local/cache-TeX/eaf7d61966befc4bdb86fe273731fef4.png)
![\sqrt[4]{\frac{3^7}{2^4 \cdot 3^6}} =\sqrt[4]{\frac{3}{2^4}} = \frac{\sqrt[4]{3}}{\sqrt[4]{2^4}} = \frac{\sqrt[4]{3}}{2} \sqrt[4]{\frac{3^7}{2^4 \cdot 3^6}} =\sqrt[4]{\frac{3}{2^4}} = \frac{\sqrt[4]{3}}{\sqrt[4]{2^4}} = \frac{\sqrt[4]{3}}{2}](local/cache-TeX/e7a68c3538ad1347d70ca6505608ac63.png)

Realiza las siguientes operaciones:
– a)
– b) ![\sqrt[4]{2187} : \sqrt{108} \sqrt[4]{2187} : \sqrt{108}](local/cache-TeX/cf35a70da9dad3bf7efc8d889e4a0201.png)
– a) ![\sqrt[3]{512} : \sqrt[3]{200} \sqrt[3]{512} : \sqrt[3]{200}](local/cache-TeX/89b1a5a42973fed592247e14bd9982a1.png)

![\sqrt[3]{512} : \sqrt[3]{200} = \frac{\sqrt[3]{512}}{\sqrt[3]{200}} = \sqrt[3]{\frac{512}{200}} = \sqrt[3]{\frac{2^9}{2^3 \cdot 5^2}} = \sqrt[3]{512} : \sqrt[3]{200} = \frac{\sqrt[3]{512}}{\sqrt[3]{200}} = \sqrt[3]{\frac{512}{200}} = \sqrt[3]{\frac{2^9}{2^3 \cdot 5^2}} =](local/cache-TeX/5470a531643d4a5a55cc8d6015455aa8.png)
![\sqrt[3]{\frac{\cancel{2^3} \cdot 2^3 \cdot 2^3}{\cancel{2^3} \cdot 5^2}} = \sqrt[3]{\frac{\cancel{2^3} \cdot 2^3 \cdot 2^3}{\cancel{2^3} \cdot 5^2}} =](local/cache-TeX/7e30e65ec246d464a0e4259647751040.png)
![2 \cdot 2 \cdot \sqrt[3]{\frac{1}{ 5^2}} = 4 \sqrt[3]{\frac{1}{25}} 2 \cdot 2 \cdot \sqrt[3]{\frac{1}{ 5^2}} = 4 \sqrt[3]{\frac{1}{25}}](local/cache-TeX/5a8f4353ad88cb18e2dae4811d3bc5d4.png)
– b) ![\sqrt[4]{2187} : \sqrt{108} = \frac{\sqrt[4]{2187}}{\sqrt{108}} \sqrt[4]{2187} : \sqrt{108} = \frac{\sqrt[4]{2187}}{\sqrt{108}}](local/cache-TeX/49431754efbe234494c91b18a3683c8f.png)
Para dividir radicales de distinto índice debemos hacer índice común
![\frac{\sqrt[4]{2187}}{\sqrt{108}} = \frac{\sqrt[4]{2187}}{\sqrt[4]{(108)^2}} = \sqrt[4]{\frac{2187}{(108)^2}} = \sqrt[4]{\frac{3^7}{(2^2 \cdot 3^3)^2}} = \frac{\sqrt[4]{2187}}{\sqrt{108}} = \frac{\sqrt[4]{2187}}{\sqrt[4]{(108)^2}} = \sqrt[4]{\frac{2187}{(108)^2}} = \sqrt[4]{\frac{3^7}{(2^2 \cdot 3^3)^2}} =](local/cache-TeX/eaf7d61966befc4bdb86fe273731fef4.png)
![\sqrt[4]{\frac{3^7}{2^4 \cdot 3^6}} =\sqrt[4]{\frac{3}{2^4}} = \frac{\sqrt[4]{3}}{\sqrt[4]{2^4}} = \frac{\sqrt[4]{3}}{2} \sqrt[4]{\frac{3^7}{2^4 \cdot 3^6}} =\sqrt[4]{\frac{3}{2^4}} = \frac{\sqrt[4]{3}}{\sqrt[4]{2^4}} = \frac{\sqrt[4]{3}}{2}](local/cache-TeX/e7a68c3538ad1347d70ca6505608ac63.png)
