Pendiente de unas escaleras
El peldaño horizontal de unas escaleras mide 29 cm y el vertical 17 cm.
Calcula la pendiente de las escaleras y la ecuación de la recta que pasa por sus vértices.
SOLUCIÓN
La pendiente es la tangente del ángulo
que forma con la horizontal

Observe que la pendiente es negativa.
Tendría pendiente positiva si estuviese en la siguiente posición

Para calcular la ecuación de la recta que pasa por los vértices de los escalones podemos situar unos ejes de coordenadas de la siguiente manera:
La pendiente
de una recta es el coeficiente de "x" en la ecuación explícita

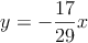
En nuestro caso la recta tendrá de ecuación:
![]()
Si la hacemos pasar por el origen de coordenadas (como en la imagen anterior), entonces
y la ecuación será:
![]()
Aclaraciones: En la vida real (por ejemplo en las carreteras) las pendientes se toman siempre positivas y se expresan en porcentaje
Mensajes
27 de agosto de 2020, 01:00, por Danny
Ahh, bueno de dónde salió el 19¿?
27 de agosto de 2020, 07:40, por dani
Es 29
Había una errata (ya está corregida)