Perímetro y área geometría 2 ESO
Halla el área y el perímetro de las siguientes figura:
SOLUCIÓN
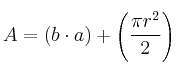
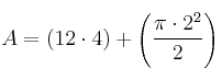
Podemos calcular el área de la siguiente forma:
Área del rectángulo (borde rojo) - Área semicírculo (verde) + 2 · Área semicírculo (gris)
Los 3 semicírculos son iguales, por lo que restarle 1 y sumarle 2 es lo mismo que sumarle 1.
A= Área del rectángulo + Área semicírculo



![]()
Para el perímetro sería:

![]()
![]()