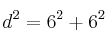
tienes que hacer teorema de pitagoras es decir :
hipotenusa al cuadrado es igual a cateto cuadrado mas cateto cuadrado .
Hipotenusa cuadrado = 36 mas 36 ( el 36 sale de 6 cuadrado )
hipotenusa cuadrado = 72
hipotenusa = raiz cuadrada de 72
hipotenusa = 8,48 aproximadamente
Espero que me haya explicado bien
un Saludo
Mensajes
14 de marzo de 2012, 21:34
como es la formula :-)
1ro de mayo de 2012, 13:19, por carolina
tienes que hacer teorema de pitagoras es decir :
hipotenusa al cuadrado es igual a cateto cuadrado mas cateto cuadrado .
Hipotenusa cuadrado = 36 mas 36 ( el 36 sale de 6 cuadrado )
hipotenusa cuadrado = 72
hipotenusa = raiz cuadrada de 72
hipotenusa = 8,48 aproximadamente
Espero que me haya explicado bien
un Saludo