• Apuntes
  • Vídeos
  • Ejercicios
    • Resueltos
    • Por Curso
      • 1º ESO
      • 2º ESO
      • 3º ESO
      • 4º ESO
      • 1º BACH. CIENCIAS
      • 1º BACH. SOCIALES
      • 2º BACH. CIENCIAS
      • 2º BACH. SOCIALES
  • Más recursos
    • Actividades Interactivas
    • Selectividad (PAU)
    • Acceso Mayores 25
    • LaTeX
Inicio ›EJERCICIOS de Matemáticas ›3º ESO ›Geometría ›Pitágoras. Lado de cuadrado a partir de diagonal

Pitágoras. Lado de cuadrado a partir de diagonal

Ejercicios_Resueltosgeometríapitágoras

Calcula el lado de un cuadrado, cuya diagonal mide 10 cm.

SOLUCIÓN

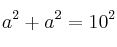
Por el teorema de Pitágoras:

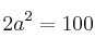
a^2+a^2=10^2


2a^2=100


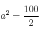
a^2=\frac{100}{2}


a^2=50


a=\sqrt{50}

lado \: = \sqrt{50} \: cm \simeq 7.07 \: cm

Comentar el ejercicio

  • 3º ESO
    • Sistemas de ecuaciones
    • Ecuaciones
    • Polinomios
    • Radicales
    • Potencias
    • Proporcionalidad y Porcentajes
    • Números Reales
    • Funciones y Gráficas
    • Sucesiones
    • Probabilidad
    • Geometría
    • Estadística
    • Problemas especiales
  • Mapa del sitio
  • Conectarse
  • 2001-2026 — Matemáticas IES — Contactar con Dani