Potencias
(18) ejercicios de Potencias
-
Simplifica las expresiones:
– a)
– b)
-
1.-
= ?
2.-
= ?
3.-
= ?
4.-
= ?
-
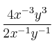
Simplifica la expresión:

-
Simplifica la expresión:

-
Opera y simplifica

