Precio electricidad. Función a trozos
A fin de regular el consumo la compañía de electricidad ha diseñado la siguiente tarifa por mes: los primeros 10 kw/hora se pagarán a 20 UM, para los siguientes 200 kw/h costará 3UM cada kw/h y 6UM de ahí en adelante.
– Calcular dominio y rango.
– Explicar el valor de la factura como una *función* de la cantidad kw/h consumidos al mes y graficar
SOLUCIÓN
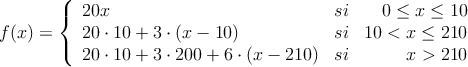
Creamos una función a trozos que nos calcule el precio de la factura según los kw/h consumidos.
![]()
Unidades Monetarias
los primeros 10 kw/hora se pagarán a 20 UM
si ![]()
los siguientes 200 kw/h costará 3UM
si ![]()
6UM de ahí en adelante
si ![]()
Expresamos la función como una función a trozos

Operamos y dejamos la función mejor expresada

Los tres tramos son rectas, por lo que resulta sencillo dibujarlos.
El dominio es ![]()
El rango o recorrido es ![]()
