• Apuntes
  • Vídeos
  • Ejercicios
    • Resueltos
    • Por Curso
      • 1º ESO
      • 2º ESO
      • 3º ESO
      • 4º ESO
      • 1º BACH. CIENCIAS
      • 1º BACH. SOCIALES
      • 2º BACH. CIENCIAS
      • 2º BACH. SOCIALES
  • Más recursos
    • Actividades Interactivas
    • Selectividad (PAU)
    • Acceso Mayores 25
    • LaTeX
Inicio ›EJERCICIOS de Matemáticas ›4º ESO ›Probabilidad ›Probabilidad. Ruleta de colores

Probabilidad. Ruleta de colores

💬 1

  Ejercicios_Resueltosprobabilidad

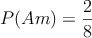
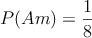
Disponemos de dos ruletas de colores (se muestran en la siguiente imagen). Calcula, para cada una de ellas las probabilidades de salir Rojo, Verde, Amarillo y Azul.

SOLUCIÓN

Ruleta 1

P(R)=0
P(V)=\frac{3}{8}
P(Am)=\frac{2}{8}
P(Az)=\frac{3}{8}

Ruleta 2

P(R)=0
P(V)=\frac{3}{8}
P(Am)=\frac{1}{8}
P(Az)=\frac{4}{8}

Comentar el ejercicio

Mensajes

  • 15 de noviembre de 2020, 20:25, por Kevin José

    En una ruleta de 4 colores esta el rojo, naranja, verde y amarillo que probabilidad hay de que salga rojo

  • 4º ESO
    • Números Reales
    • Radicales
    • Logaritmos
    • Polinomios
    • Ecuaciones
    • Sistemas de ecuaciones
    • Proporcionalidad
    • Inecuaciones
    • Trigonometría
    • Funciones 4º ESO
    • Números racionales
    • Circunferencia
    • Geometría en el plano
    • Probabilidad
    • Estadística
  • Mapa del sitio
  • Conectarse
  • 2001-2026 — Matemáticas IES — Contactar con Dani