Problemas Geometría
Calcula el perímetro de un octógono regular, sabiendo que su apotema mide 3 cm. y su área es de ![]()
SOLUCIÓN
El área de un polígono regular es

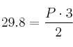
Conocemos apotema y área:

Tenemos que despejar el Perímetro en la ecuación anterior:
![]()

![]()