Problemas Geometría
Calcula el área de un triángulo de lados 4cm, 7cm y 9cm.
SOLUCIÓN
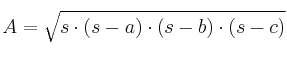
Se puede calcular el área de cualquier triángulo (conociendo los tres lados) aplicando la fórmula de Herón:

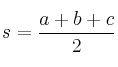
donde a, b y c son los lados y s es la mitad del Perímetro:

Si la aplicamos a un triángulo de lados 4, 7 y 9 tendremos:



