Problemas Pitágoras
Calcula el perímetro de un rectángulo sabiendo que uno de sus lados mide 6 cm. y su diagonal 10 cm.
SOLUCIÓN
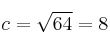
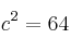
Para calcular el valor del otro lado aplicamos Pitágoras
![]()
![]()
![]()
![]()

El perímetro valdrá
![]()
el perímetro vale ![]()
Calcula el perímetro de un rectángulo sabiendo que uno de sus lados mide 6 cm. y su diagonal 10 cm.
Para calcular el valor del otro lado aplicamos Pitágoras
![]()
![]()
![]()
![]()

El perímetro valdrá
![]()
el perímetro vale ![]()