• Apuntes
  • Vídeos
  • Ejercicios
    • Resueltos
    • Por Curso
      • 1º ESO
      • 2º ESO
      • 3º ESO
      • 4º ESO
      • 1º BACH. CIENCIAS
      • 1º BACH. SOCIALES
      • 2º BACH. CIENCIAS
      • 2º BACH. SOCIALES
  • Más recursos
    • Actividades Interactivas
    • Selectividad (PAU)
    • Acceso Mayores 25
    • LaTeX
Inicio ›EJERCICIOS de Matemáticas ›3º ESO ›Geometría ›Problemas Pitágoras

Problemas Pitágoras

Ejercicios_Resueltosgeometríapitágoras

Apoyamos una escalera sobre la pared. El extremo inferior de la misma está a 1,5 m de la pared. ¿A qué altura está el extremo superior si la escalera mide 6 m.?

SOLUCIÓN

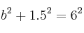
Aplicamos Pitágoras:
b^2+1.5^2=6^2
b^2+2.25=36
b^2=36-2.25
b^2=33.75
b=\sqrt{33.75}

está a una altura de \sqrt{33,75} \:m \simeq 5.8 \: m

Comentar el ejercicio

  • 3º ESO
    • Sistemas de ecuaciones
    • Ecuaciones
    • Polinomios
    • Radicales
    • Potencias
    • Proporcionalidad y Porcentajes
    • Números Reales
    • Funciones y Gráficas
    • Sucesiones
    • Probabilidad
    • Geometría
    • Estadística
    • Problemas especiales
  • Mapa del sitio
  • Conectarse
  • 2001-2026 — Matemáticas IES — Contactar con Dani