Problemas de Geometría
Calcula el perímetro y la superficie de un cuadrado de diagonal 5 cm
SOLUCIÓN
Necesitamos calcular primero el lado ![]()
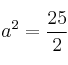
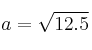
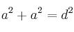
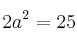
Aplicamos Pîtágoras:
![]()
![]()

![]()

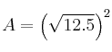
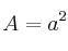
Calculamos la superficie (área):
![]()

![]()
El perímetro será;
![]()

Calcula el perímetro y la superficie de un cuadrado de diagonal 5 cm
Necesitamos calcular primero el lado ![]()
Aplicamos Pîtágoras:
![]()
![]()

![]()

Calculamos la superficie (área):
![]()

![]()
El perímetro será;
![]()
