Problemas de Geometría
Calcula el perímetro y la superficie de un rombo de diagonales 15 cm y 10 cm
SOLUCIÓN
Dibujamos el rombo, le asignamos "x" al lado (desconocido) y nos fijamos en el triángulo rectángulo resaltado donde sus catetos serán la mitad de las diagonales.
Aplicamos el Teorema de Pitágoras:
![]()
![]()
![]()

El lado mide ![]()
El perímetro entonces vale ![]()
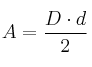
Para calcular el área (o superficie) del rombo podemos aplicar la fórmula del área de un rombo:


Si no recordamos la fórmula anterior, podemos calcular el área de uno de los triángulos rectángulos y multiplicarlo por 4 (pues hay 4 triángulos)


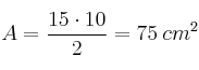
El área del rombo será:
![]()