Problemas de mezclas

Ejercicios_Resueltosproblemas_con_sistemasproblemas_de_mezclas

Una solución líquida contiene el 40% de alcohol, y 60 % de agua. Una segunda solución líquida contiene 20% de alcohol y 80% de agua. ¿Qué cantidades de cada solución deben tomarse para formar 80 litros de una solución que contenga 35% de alcohol?

SOLUCIÓN

Para resolver los problemas clásicos de mezclas se suele usar una tabla como la siguiente:

Litros Porcentaje de Alcohol Valor
Solución 1 x 40 40x
Solución 2 y 20 20y
Total mezcla 80 35 2800

 En cuanto a litros tenemos que x+y=80
 En cuanto a valor tenemos que 40x+20y=2800

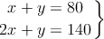
Podemos simplificar la segunda ecuación dividiendo topo por 20 y nos quedaría el sistema:

\left.
x + y  = 80 \atop
2x + y = 140
\right\}

Resolvemos por sustitución

\left.
x + y  = 80 \atop
2x + y = 140
\right\} \left.
\rightarrow y  = 80-x \atop
\longrightarrow 2x + (80-x) = 140\rightarrow x=60
\right\}

Por tanto x=60 \: , \: y=20

Deberíamos poner 60 litros de la solución 1 y 20 litros de la solución 2

Comentar el ejercicio