Progresiones aritméticas
Una progresión aritmética es toda sucesión en la que cada término, excepto el primero, es la suma del anterior más una cantidad fija llamada diferencia (d).
Por tanto
donde ![]()
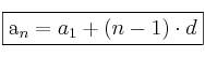
Término general
El término general de una progresión aritmética se puede expresar con la fórmula:

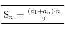
Suma de los n primeros términos
La suma de los
primeros términos de una progresión aritmética, cuyo término general es
se puede expresar con la siguiente fórmula:
