Progresiones geométricas
Una progresión geométrica es toda sucesión en la que cada término, excepto el primero, es el producto del anterior por una cantidad fija llamada razón (r).
Por tanto
donde
y ![]()
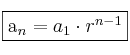
Término general
El término general de una progresión geométrica se puede expresar con la fórmula:

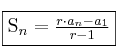
Suma de los n primeros términos
La suma de los
primeros términos de una progresión geométrica, cuyo término general es
se puede expresar con la siguiente fórmula:

Cuando el valor absoluto de la razón es menor que 1,
, la suma de los infinitos términos de la progresión geométrica toma un valor finito y se calcula utilizando la fórmula:
