• Apuntes
  • Vídeos
  • Ejercicios
    • Resueltos
    • Por Curso
      • 1º ESO
      • 2º ESO
      • 3º ESO
      • 4º ESO
      • 1º BACH. CIENCIAS
      • 1º BACH. SOCIALES
      • 2º BACH. CIENCIAS
      • 2º BACH. SOCIALES
  • Más recursos
    • Actividades Interactivas
    • Selectividad (PAU)
    • Acceso Mayores 25
    • LaTeX
Inicio ›EJERCICIOS de Matemáticas ›3º ESO ›Radicales ›Radicales operaciones

Radicales operaciones

Ejercicios_Resueltosoperaciones radicalesradicales

Calcula y simplifica:
\sqrt{8} + \sqrt{18} - \sqrt{98}

SOLUCIÓN

\sqrt{8} + \sqrt{18} - \sqrt{98}


Como no son radicales semejantes no podemos sumarlos / restarlos.
Factorizamos los radicandos y simplificamos con objeto de conseguir radicales semejantes

\sqrt{2^3} + \sqrt{2 \cdot 3^2} - \sqrt{2 \cdot 7^2}


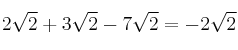
2\sqrt{2} + 3\sqrt{2} - 7\sqrt{2} = -2\sqrt{2}

Comentar el ejercicio

  • 3º ESO
    • Sistemas de ecuaciones
    • Ecuaciones
    • Polinomios
    • Radicales
    • Potencias
    • Proporcionalidad y Porcentajes
    • Números Reales
    • Funciones y Gráficas
    • Sucesiones
    • Probabilidad
    • Geometría
    • Estadística
    • Problemas especiales
  • Mapa del sitio
  • Conectarse
  • 2001-2026 — Matemáticas IES — Contactar con Dani