Resolver Sistema por Cramer
La regla de Cramer es una fórmula que nos da la solución de un sistema Compatible Determinado.
Dado un sistema lineal de 3 ecuaciones con 3 incógnitas, podemos expresar su matriz ampliada

Si el determinante de la matriz de los coeficientes es distinto de cero, será un sistema compatible determinado.

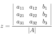
Entonces podemos usar las fórmulas de la regla de Cramer para encontrar la solución:



Observamos que el determinante del numerador es igual que el determinante del denominador salvo por:
– en la x (1ª incógnita) cambiamos la 1ª fila por la de los términos independientes
– en la y (2ª incógnita) cambiamos la 2ª fila por la de los términos independientes
– en la z (3ª incógnita) cambiamos la 3ª fila por la de los términos independientes