Sistema Lineal 3x3
Se llama ecuación lineal con tres incógnitas a la suma de las tres incógnitas, multiplicadas por números, e igualada la suma a otro número (las incógnitas no pueden estar elevadas a exponentes ni multiplicadas entre sí)
Se llama solución de la ecuación lineal a un conjunto de valores que al sustituirlos en las incógnitas hacen que se verifique la igualdad.
Se llama sistema de ecuaciones lineales a un conjunto de ecuaciones lineales referidas todas ellas a las mismas incógnitas. Un sistema 3x3 significa 3 ecuaciones con 3 incógnitas.
La solución de un sistema de ecuaciones lineales es el conjunto de valores que verifican todas y cada una de las ecuaciones.
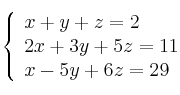
Ejemplo de sistema lineal 3x3

Ejemplos resueltos
Sistema 3 ecuaciones y 3 incógnitas resuelto por sustitución
Sistema 3 ecuaciones y 3 incógnitas resuelto por Cramer
Sistema 3 ecuaciones y 3 incógnitas resuelto por Gauss
Mensajes
28 de agosto de 2016, 02:42, por Jhosuar Mendoza
2x-y+2z=6
3x+2y-z=4
4x+3y-3z=1
Por Favor Quien Me Ayuda
23 de febrero de 2017, 03:35, por Neidys
x=1
y=2
z=3
10 de octubre de 2017, 22:43, por Robert
x=1
y=-2
z=3
3 de noviembre de 2017, 21:50, por lesica todo bolso
salame nadie te va a respondes bo sos alto bobo
10 de octubre de 2017, 22:44, por Robert
x=1
y=-2
z=3
21 de noviembre de 2017, 02:00, por michel
20y+30y+30z=240
30+40+60z=300
30x+20y+15z=180
22 de mayo de 2019, 01:55, por jorge
2x + y - z = -3
3x - y + z = 3
5x +4z = 12
ayudaaaa
22 de mayo de 2019, 07:52, por dani
El ejercicio que propones está resuelto en el siguiente enlace:
https://matematicasies.com/Sistema-...
29 de septiembre de 2019, 01:48, por roberto
x=1 y=-31/23 z=54/23 segun regla de cramer y metodo de sarrus