Selectividad Andalucía 2021-Julio-A1
andalucíaecuacion_matricialEjercicios_ResueltosMatemat_Soc_Andalucia_2021matricesmatriz inversaselectividad
Se considera la matriz 
a) Determine para qué valores del parámetro
, la matriz
tiene inversa.
b) Para
, calcule la inversa de
.
c) Para
, resuelva la ecuación matricial
, siendo ![]()
SOLUCIÓN
a) Para que exista la inversa el determinande debe ser distinto de cero

![]()
Por tanto, tiene inversa para cualquier valor de a excepto -8
b) Si ![]()
Calculamos la inversa siguiendo la teoría: Calcular matriz inversa usando determinantes y obtenemos:

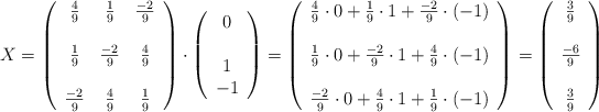
c) ![]()
![]()
![]()

Simplificando obtenemos finalmente:
