• Apuntes
  • Vídeos
  • Ejercicios
    • Resueltos
    • Por Curso
      • 1º ESO
      • 2º ESO
      • 3º ESO
      • 4º ESO
      • 1º BACH. CIENCIAS
      • 1º BACH. SOCIALES
      • 2º BACH. CIENCIAS
      • 2º BACH. SOCIALES
  • Más recursos
    • Actividades Interactivas
    • Selectividad (PAU)
    • Acceso Mayores 25
    • LaTeX
Inicio ›EJERCICIOS de Matemáticas ›3º ESO ›Radicales ›Simplificar Radicales (2851)

Simplificar Radicales (2851)

Ejercicios_Resueltosradicalessimplificar_radicales

Opera y simplifica:

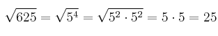
– a) \sqrt{625}
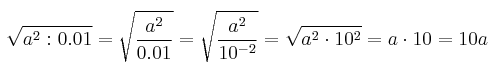
– b) \sqrt{a^2 : 0.01}
– c) \sqrt{\sqrt{16}}
– d) \sqrt{\sqrt[3]{729}}

SOLUCIÓN

– a) \sqrt{625} = \sqrt{5^4}=\sqrt{5^2 \cdot 5^2}=5 \cdot 5 = 25

– b) \sqrt{a^2 : 0.01}=\sqrt{\frac{a^2}{0.01}}=\sqrt{\frac{a^2}{10^{-2}}}= \sqrt{a^2 \cdot 10^2} =a \cdot 10 = 10a

– c) \sqrt{\sqrt{16}}= \sqrt[4]{16}= \sqrt[4]{2^4} = 2

– d) \sqrt{\sqrt[3]{729}}
\left. \begin{array}{c|c}729 & 3\cr243 & 3 \cr81 & 3 \cr27 & 3 \cr9 & 3 \cr3 & 3 \cr1\end{array} \right.
\sqrt{\sqrt[3]{729}} = \sqrt[6]{729}= \sqrt[6]{3^6}=3

Comentar el ejercicio

  • 3º ESO
    • Sistemas de ecuaciones
    • Ecuaciones
    • Polinomios
    • Radicales
    • Potencias
    • Proporcionalidad y Porcentajes
    • Números Reales
    • Funciones y Gráficas
    • Sucesiones
    • Probabilidad
    • Geometría
    • Estadística
    • Problemas especiales
  • Mapa del sitio
  • Conectarse
  • 2001-2026 — Matemáticas IES — Contactar con Dani