Sistemas de ecuaciones
(34) ejercicios de Sistemas de ecuaciones
-
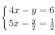
Resuelve el sistema de ecuaciones:

-
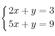
Resuelve el sistema de ecuaciones:

-
Resuelve el sistema de ecuaciones:

-
Resuelve el sistema de ecuaciones:

-
Resuelve el sistema de ecuaciones:

