Trigonometría
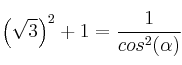
Calcula seno y coseno de un ángulo del tercer cuadrante sabiendo que su tangente es ![]()
SOLUCIÓN
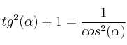
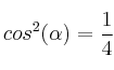
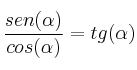
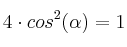
Conociendo la tangente, se puede hallar el coseno con la fórmula:




![]()


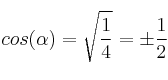
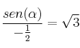
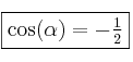
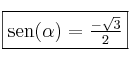
Como es del tercer cuadrante el coseno es negativo, por tanto:
De la fórmula
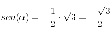
se puede obtener el seno puesto que conocemos coseno y tangente



