Una jugadora de baloncesto tira a canasta en parábola
Una jugadora de baloncesto tira a canasta y la trayectoria que sigue el lanzamiento va según la función
; en base a esto calcule:
a) Las componentes de su vértice.
b) Los puntos de corte con los ejes.
c) Dibuje la gráfica de la función ayudándose de la tabla

d) ¿Cuál es el punto más alto al que llegará el balón?
e) Si la canasta está en el punto (2,3), ¿logrará encestar?; Razone su respuesta.
SOLUCIÓN
es una función cuadrática cuya gráfica es una parábola.
a) En la parábola
la primera coordenada del vértice se calcula con la fórmula: 
![]()
Para calcular la segunda coordenada, sustituimos "x" por "1"
![]()
![]()
Por tanto el vértice es el punto ![]()
b) Los puntos de corte con los ejes
Si ![]()
Punto de corte ![]()
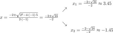
Si ![]()
Resolvemos la ecuación de segundo grado

Puntos de corte
y ![]()
c) Gráfica de la función.
Para dibujar la gráfica debemos dibujar el vértice y los puntos de corte.
También debemos considerar la orientación: como el coeficiente de x² es negativo, la parábola viene hacia abajo (quedando el vértice arriba)
Si nos ayudamos de otros puntos, podremos dibujarla mejor

Ahora bastaría con unir los puntos (cuanto más puntos hayamos calculado, mejor saldrá la gráfica)
d) El punto más alto al que llegará el balón es el vértice (1,6)
e) Si la canasta está en el punto (2,3) no conseguirá encestar puesto que dicho punto no está en la treyectoria del balón