📝 Ejercicios de continuidad
-
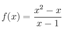
Halla el valor de
para que la siguiente función sea continua.

-
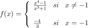
Halla el valor de
para que la siguiente función sea continua.

-
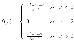
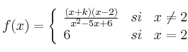
Halla el valor de
para que la siguiente función sea continua.

-
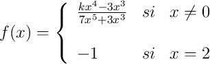
Halla el valor de
para que la siguiente función sea continua en

-
Estudia la continuidad de la siguiente función:

-
Estudia la continuidad de la siguiente función:

-
Estudia la continuidad de la siguiente función:

-
Estudia la continuidad de la siguiente función:

-
Estudia la continuidad de la función:

-
Estudia la continuidad de la función:

en los puntos
y 
-
Estudia la continuidad de la función:

>en los puntos

-
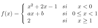
Halla el valor de
para que la siguiente función sea continua:

-
Halla el valor de
para que la siguiente función sea continua en

-
En la siguiente función dada por una gráfica indica:
– a) Dominio
– b) Continuidad
– c) Corte con los ejes
– d) Monotonía -
Sea la función:

Se pide:
– a) Representación gráfica
– b) Dominio y continuidad
– c) Corte con los ejes
– d) Monotonía y extremos
-
Halla los valores de
y
para que la siguiente función sea continua:

-
Halla los valores de
y
para que la siguiente función sea continua:

-
Halla los puntos de discontinuidad de las siguientes funciones:
–
–
–
–
–
–
-
– Estudie la continuidad y derivabilidad de la función:

– Calcule la derivada de
-
Sea
la función definida por

– a) Estudia la continuidad y dervabilidad
– b) Determina sus asíntotas y sus extremos relativos
– c) Esboza la gráfica de f